Bruno Glecer

Portfolio

Hi! I'm Bruno. I like electronics, programming, math, physics and combining them.
I'm still working on this site :)

Some of my projects

Real-time EM Simulator (Interactive!)

A real-time electromagnetic simulator built in JavaScript using GPU computation, this project visualizes how electric and magnetic fields respond to the movement of a charge controlled by the user’s cursor.

Portable SiPM Testbench (Thesis Project)

Portable SiPM Testbench (Thesis Project)

SiPM testbench for characterizing SiPM performance (DCR, SPE, Dark current) based on custom electronics and a Red Pitaya FPGA Board. Portability offers a robust solution for SiPM irradiation campaigns.

Game of Cabeza and its engine

Game of Cabeza and its engine

This project combines a custom board game with a command-line engine that analyzes and plays the game using minimax search with alpha–beta pruning. The engine includes configurable depth and time limits, a concise move-notation system, FEN-like position encoding, and interactive commands for move execution, undoing, and automated play.

1 GHz Low Noise Amplifier

1 GHz Low Noise Amplifier

Project for the RF measurements course. The amplifier was designed for minimum noise figure and simulated using CST Studio. Measurements were carried to ensure match between theory and simulations.

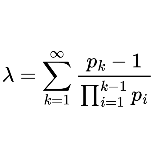
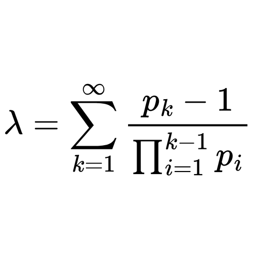
A Prime-Generating Constant

A Prime-Generating Constant

Some friends and I developed and idea for a mathmetical constant that produces the prime numbers together with a recursive formula. It was published together with mathematician and math communicator James Grime at the American Mathematical Monthly